Fsdp V1 V2

 

GPU分配

P: Parameters

G: Gradients

OS: Optimizer states

一般 1:1:6

一般都和 optimizer 有关系

  • 优化器的构造会封装parameters
    optimizer = optim.Adam(mode.parameters(), lr=0.001)
    
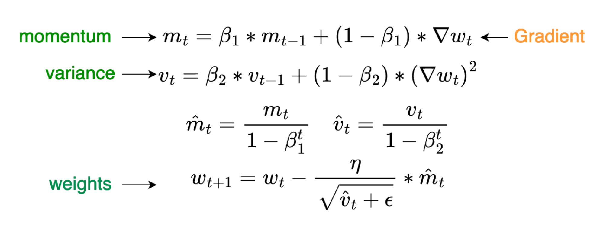
  • loss.backward() -> parameters.grad

  • optimizer.step() -> optimizer stats 更新优化器状态
    • momentum 一阶矩阵信息, graident 的指数平均
    • variance 二阶方差信息 gradient square的指数平均
for group in optimizer.param_groups:
    for p in group['params']:
        state = optimizer.state[p]

        # Exponential moving average of gradient values
        m = state['exp_avg']  # 动量参数

        # Exponential moving average of squared gradient values
        v = state['exp_avg_sq']  # 方差参数

混合精度下(前向fp16 反向 更新gardients fp32):

x 个模型参数 (FP16)

parameters: 2x Gradients: 2x

Optimizer stats(Adam all in fp32) 12x = 4x + 4x + 4x

parameters copy: 4x

momentum: 4x

variance 4x

参考:https://arxiv.org/abs/1910.02054

参考这张图的BaseLine, adam 的时候K就是12 ,不同优化器可能会对应不同K

alt text

zero1 对 OS 做分区,某种意义上算是张量并行,但是只切分了OS

zero2 OS + G

zero3 OS + G + P

关于更多优化器:https://docs.pytorch.org/docs/stable/generated/torch.optim.Adam.html

alt text

NCCL 通讯库

  • PCIE/NVLINk 单机多卡
  • 多机多卡:IB卡

DDP并行

数据并行,每张卡都有模型

alt text

每张卡独立前向计算 独立 反向传播,计算 gradients All Reduce(gradients) - 广播 把所有的 gradients 加到一起,广播到所有的GPU上 每张卡更新优化器状态和模型参数

TP 并行,分块矩阵

pp 并行,分层并行


from torch.distributed.pipeline.sync import Pipe

# Need to initialize RPC framework first.
os.environ['MASTER_ADDR'] = 'localhost'
os.environ['MASTER_PORT'] = '29500'
torch.distributed.rpc.init_rpc('worker', rank=0, world_size=1)

# Build pipe.
fc1 = nn.Linear(16, 8).cuda(0)
fc2 = nn.Linear(8, 4).cuda(1)
model = nn.Sequential(fc1, fc2)
# chunks: number of micro-batches (default: 1)
model = Pipe(model, chunks=8)

input = torch.rand(16, 16).cuda(0)
output_rref = model(input)

FSDP

论文: https://arxiv.org/pdf/2304.11277

流程:

  1. 定义FSDP 的unit ,具体是什么级别 vertical 切分 layer/module/stage
  2. sharding horizontal 切分 OS G P
  3. All gather

  4. Reduce Scatter

每个unit 在不同卡上做split 每个unit 做前向和反向的时候都要做一次all gather alt text

6 个layer的 model

构造了3个unit,layer0+layer3, layer1 + layer2, layer4 + layer5

共享参数的layer 应该是要放在同一个unit

split 了

蓝色代表 shard

以 unit1 的执行为例子,

前向:

先gather,因为layer1 layer2 不同的参数是分在不同的GPU上,算完之后再free

反向:

先gather,再free,再广播 gradients

  • construct units 构造 units
    • unit0
    • unit1
    • unit2
  • sharding:
    • 把unit 存成 FlatParameter
    • split FlatParameter 到多个node/gpu
    • torch.distributed.fsdp.FullyShardedDataParallel
      • sharding_strategy
        • FULL_SHARD: os + g + p
        • shard_grad_OP: os + G

alt text

上图描述了sharding过程,

首先把 weight 和bias 都存成FlatParameter,可能会存在一定的padding

FlatParameter 存好之后,每张卡分到一份FlatParameter

ALL gather

all gather

上图描述了NCCL 的all gather 原语,每张卡存了不同的shard,主要是先concat ,再做广播

alt text

上图是fsdp ,分成了4份

前向的时候gather起来,再广播

算晚forward backward再释放

每张卡继续保留部分

alt text

其中,这种前向反向的过程,是有一定的overlap处理的

首先,对unit0 gather, gather后算前向,算unit0前向的同时,可以对 unit1 做 gather,通信和计算可以同时进行,就是overlap

### reduce-scatter

reduce scatter

reduce 默认操作是加和,

ALL reduce

alt text

上图,gather完之后,算完不同的梯度,4卡的梯度加起来,不同的部分再分发到不同的卡上

DDP 和FSDP的区别

DDP 每个GPU上都有完整的模型,FSDP 每个GPU上模型不完整,留给batch的空间较大

alt text

https://huggingface.co/docs/accelerate/concept_guides/fsdp1_vs_fsdp2

https://docs.pytorch.org/tutorials/intermediate/FSDP_tutorial.html

torch api

import torch
from torch.distributed._fsdp import FullyShardedDataParallel as FSDP

torch.cuda.set_device(device_id)

sharded_module = FSDP(my_module)
optim = torch.optim.Adam(sharded_module.parameters(), lr=0.0001)
sharded_module(input).sum().backward()
optim.step()

accelerate deepspeed torchrun 关系

accelerate 是huggingface 提供的高级api

可以选择使用 deepspeed/fsdp/megatron

QA?

fsdp 并行,虽然拆分了optimer stats 到不同的node/gpu 但是gather的时候还是要聚合的,峰值上每张卡还是会有 整个模型的parameters,Gradients 和 Optimizer stats吗

。在计算某一层时,该层的完整参数会被gather到所有参与的GPU上,所以瞬时峰值时每张卡确实会有该层的完整参数。但关键是这是逐层进行的,不是整个模型的所有参数同时存在。

https://docs.google.com/presentation/d/1ntPSYg-Wphl8sErwjUl0AztOY1i4SZmQuvmGhkeRElA/edit?slide=id.p#slide=id.p